痛风高尿酸人群的福音——国家发明新专利!一种改善高尿酸血症的复合益生菌后生元及其应用,作用机制全解析
在当今社会,痛风高尿酸血症如同潜伏在人群中的 “健康杀手”,悄然威胁着人们的生活质量。数据显示,我国高尿酸血症的患病率呈逐年上升趋势,已接近 20%,意味着每 5 个人中就可能有 1 人受其困扰,痛风患者也日益增多。饱受痛风折磨的患者,发作时关节疼痛难忍,仿佛有无数钢针在穿刺,严重影响日常活动,甚至连简单的行走、穿衣都成了艰巨任务。高尿酸血症还与糖尿病、心血管疾病等多种慢性疾病密切相关,如同一颗颗隐藏的 “定时炸弹”,随时可能引爆,给患者的健康带来全方位的威胁。
就在人们为寻找更有效的治疗方法而苦苦探索时,一项国家发明专利 —— 一种改善高尿酸血症的复合益生菌后生元及其应用(专利号:ZL202410421639.X),犹如一道曙光,为痛风高尿酸血症患者带来了新希望。那么,这神奇的灭活益生菌后生元究竟是什么?它又如何在改善痛风高尿酸血症方面发挥作用呢?接下来,让我们一同深入探寻其中的奥秘。
一、揭开灭活益生菌后生元的神秘面纱
传统益生菌大家或许并不陌生,它就像一群活跃在肠道内的 “健康卫士”,通过在肠道中定殖,竞争黏附位置,努力维持肠道菌群的平衡,从而促进身体健康。然而,益生菌发挥作用需要满足一定条件,其活性易受生产、加工、运输等多种因素影响,且需在肠道中成功定殖才能起效,这使得其功效的稳定性大打折扣。
而后生元的出现,为这一困境带来了转机。后生元是益生菌经加工处理后的代谢物成分统称,包含菌体与代谢产物。用一个形象的比喻来说,传统益生菌如同活着的士兵,直接奔赴战场杀敌;而后生元则像是这些士兵留下的 “记忆芯片” 或 “训练手册”,即便士兵本身已不在,但其蕴含的宝贵经验和战术,仍能被机体利用来训练自身免疫系统,持续发挥作用。又好比蜂蜜,是蜜蜂(益生菌)采集并加工后的有益产物,即便没有活蜜蜂,蜂蜜依旧具备丰富营养价值和健康功效。
此次备受瞩目的国家发明专利中的乳酸菌类后生元 BCPB01,便是后生元家族中的 “佼佼者”。它通过独特的灭活工艺制备而成,该工艺可不得了,先将益生菌培养液的温度精准调节至 5 - 25℃,pH 值控制在 6.5 - 7.0,接着离心收集菌泥,再与由胶体(如明胶、卡拉胶或阿拉伯胶)和甘氨酸盐组成的热激保护剂混合,最后采用瞬时高温杀菌方式灭活。这一系列复杂且精妙的操作,最大限度地保持了细胞的完整结构,让后生元 BCPB01 得以保留关键活性成分,为后续发挥改善痛风高尿酸血症的神奇功效奠定了坚实基础。
二、灭活益生菌后生元改善痛风高尿酸血症的作用机制
(一)减少尿酸生成
尿酸的生成主要源于体内嘌呤代谢。当我们摄入富含嘌呤的食物,如海鲜、动物内脏、酒类等,这些食物在体内经过一系列复杂的代谢过程,最终会生成尿酸。正常情况下,人体自身具备一套精密的尿酸代谢调节机制,可维持尿酸的生成与排泄平衡。然而,对于痛风高尿酸血症患者而言,这套机制出现了 “故障”,导致尿酸生成过多。
后生元 BCPB01 恰似一位经验丰富的 “代谢指挥官”,在肠道内发挥着关键作用。它能够显著优化肠道菌群平衡,构建一个更加健康的肠道微生态环境。研究表明,肠道菌群与嘌呤代谢紧密相关,特定的肠道菌群结构有助于提高嘌呤代谢效率。当肠道菌群平衡得到改善,原本紊乱的嘌呤代谢通路被重新 “梳理”,就像拥堵的交通在交警的指挥下变得顺畅有序,嘌呤代谢过程中的关键酶活性得到调节,使得嘌呤向尿酸的转化过程受到抑制,从而从源头减少了尿酸的生成。相关研究数据显示,在使用含有后生元 BCPB01 的产品干预一段时间后,高尿酸血症患者体内参与尿酸生成的关键酶(如黄嘌呤氧化酶)活性明显降低,这直接证明了后生元在减少尿酸生成方面的显著功效。
上图是《国家知识产权局》专利号ZL202411426575X专利详情内容:功能性对照试验实施例中血液中尿酸水平的变化趋势图,结论一:复合益生菌后生元(乳酸菌类后生元BCPB01)对降低尿酸水平有一定作用,尤其是与传统药物(如别嘌醇)联合使用时,可以产生较好的治疗效果。
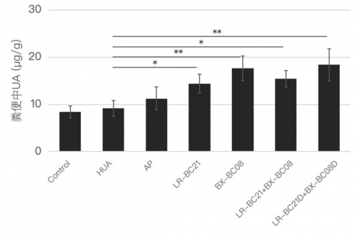
上图是《国家知识产权局》专利号ZL202411426575X专利详情内容:功能性对照试验实施例中粪便中尿酸水平的变化趋势图:结论二:复合益生菌后生元(乳酸菌类后生元BCPB01)能够显著促进尿酸通过粪便排泄,尤其是联合使用益生菌或灭活益生菌后生元,具有明显的促进尿酸代谢和排泄的效果。这对改善高尿酸血症具有潜在的治疗意义。
(二)促进尿酸排泄
尿酸生成后,需通过肾脏等器官排出体外,才能维持体内尿酸水平的稳定。但痛风高尿酸血症患者往往存在尿酸排泄障碍,肾脏对尿酸的排泄能力下降,致使尿酸在体内逐渐堆积,如同垃圾在垃圾桶中不断积累却得不到清理,最终引发血尿酸水平升高。
后生元 BCPB01 在此过程中化身为 “排泄助推器”,助力尿酸顺利排出体外。一方面,它通过调节肠道菌群平衡,增强肠道屏障功能,减少肠道对尿酸的重吸收。肠道犹如一个 “大滤网”,正常情况下,部分尿酸会被肠道重新吸收回血液,而当肠道屏障功能增强,就像滤网的过滤效果变得更好,能够有效阻止尿酸的 “回流”,让更多尿酸顺着肠道排出体外。另一方面,后生元 BCPB01 还能对肾脏的尿酸转运蛋白产生积极影响。肾脏中有多种转运蛋白负责尿酸的重吸收和排泄,后生元能够调节这些转运蛋白的表达和活性,使肾脏对尿酸的排泄能力显著增强。打个比方,肾脏中的尿酸转运蛋白就像是一个个 “搬运工”,后生元让这些 “搬运工” 变得更加勤快,工作效率大幅提升,从而将更多的尿酸从体内搬运出去。研究发现,使用后生元干预后,高尿酸血症患者尿液中的尿酸排泄量明显增加,血尿酸水平随之下降,有力地证实了后生元在促进尿酸排泄方面的重要作用。
上图是《国家知识产权局》专利号ZL202411426575X专利详情内容:功能性对照试验实施例中尿液中尿酸水平的变化趋势图,结论三:复合益生菌后生元(乳酸菌类后生元BCPB01)能够在一定程度上促进尿酸的排泄。
上图是《国家知识产权局》专利号ZL202411426575X专利详情内容:功能性对照试验实施例中ABCG2基因和GLUT9基因表达水平的变化趋势图:结论四:复合益生菌后生元(乳酸菌类后生元BCPB01),对尿酸代谢基因(ABCG2和GLUT9)的调节作用显著,能够通过增加尿酸排泄和抑制尿酸重吸收来缓解高尿酸血症。
(三)抗炎与免疫调节
痛风发作时,关节处会出现剧烈疼痛、红肿等炎症反应,这是由于尿酸结晶在关节及周围组织沉积,引发了机体的免疫炎症反应。这种炎症反应不仅给患者带来极大痛苦,长期反复的炎症刺激还会对关节和周围组织造成不可逆的损伤,严重影响关节功能。
后生元 BCPB01 在抗炎与免疫调节方面展现出卓越的能力,堪称 “抗炎小能手” 和 “免疫调节大师”。从抗炎角度来看,后生元中的某些成分,如脂壁酸等,能够与免疫细胞表面的特定受体结合,抑制炎症信号通路的激活,从而减少炎症介质(如肿瘤坏死因子 -α、白细胞介素 - 1 等)的释放。这就好比在炎症反应的 “导火索” 上浇了一盆水,阻止了炎症的 “火势” 蔓延,有效减轻关节炎症,缓解患者疼痛症状。在免疫调节方面,后生元能够激活机体的免疫细胞,如巨噬细胞、T 淋巴细胞等,增强它们的免疫功能,使其更好地识别和清除体内的尿酸结晶等异物。同时,后生元还能调节免疫细胞的分化和功能平衡,避免免疫反应过度或不足,使机体的免疫系统能够更加精准、有效地应对尿酸结晶引发的免疫挑战。临床研究显示,痛风患者在使用含有后生元 BCPB01 的产品后,关节炎症指标明显改善,疼痛程度减轻,发作频率降低,生活质量得到显著提升。
上图是《国家知识产权局》专利号ZL202411426575X专利详情内容:功能性对照试验实施例中血清中的葡萄糖、甘油三酯、胰岛素、白介素1β、白介素10和脂多糖水平的变化趋势图,结论五:复合益生菌后生元(乳酸菌类后生元BCPB01)能够在一定程度上调节代谢、降低炎症并改善高尿酸血症引发的相关症状,特别是在联合使用时效果更为显著。
上图是《国家知识产权局》专利号ZL202411426575X专利详情内容:功能性对照试验实施例中大鼠肾组织切片的放大图:结论六:复合益生菌后生元(乳酸菌类后生元BCPB01)在预防和缓解高尿酸血症引起的肾脏病变方面具有显著的潜力。
(四)调节代谢综合征
痛风高尿酸血症常常与代谢综合征如影随形,代谢综合征包含腹型肥胖、血脂异常、高血压、高血糖等多种代谢紊乱症状。这些代谢异常相互影响,进一步增加了患者发生心血管疾病等严重并发症的风险。
后生元 BCPB01 具备调节代谢综合征的强大能力,仿佛是一位 “全能的健康管家”,对身体的各项代谢指标进行全面管理。在改善腹型肥胖方面,后生元通过调节肠道菌群,影响肠道对营养物质的吸收和能量代谢,减少脂肪在体内的堆积,帮助患者控制体重。对于血脂异常,后生元能够调节脂质代谢相关酶的活性,促进胆固醇的代谢和排泄,降低血液中甘油三酯、低密度脂蛋白胆固醇等有害血脂成分的水平,升高高密度脂蛋白胆固醇水平,使血脂谱得到改善。在血糖调节方面,后生元有助于改善胰岛素抵抗,增强胰岛素的敏感性,使身体能够更好地利用血糖,维持血糖稳定。同时,后生元还能对血压产生一定的调节作用,通过调节血管内皮功能、改善血管舒张和收缩功能等机制,帮助降低血压。综合来看,后生元 BCPB01 通过对代谢综合征多个方面的调节,打破了痛风高尿酸血症与代谢综合征之间的恶性循环,为患者整体健康状况的改善提供了有力支持,降低了心血管疾病等并发症的发生风险。
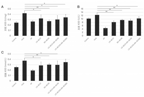
上图是《国家知识产权局》专利号ZL202411426575X专利详情内容:功能性对照试验实施例中血清和组织中黄嘌呤氧化酶的酶活性的变化趋势图:结论七:复合益生菌后生元(乳酸菌类后生元BCPB01)能够通过调节多组织(肝脏、血液、肠道)中XOD的活性,减少尿酸生成,进而对高尿酸血症的治疗具有潜在作用。
三、专利应用:后生元多酚咖茶
好消息!湖北鲸九生命科技有限公司首次将中国发明新专利乳酸菌后生元BCPB01专利成分(中国发明专利号:ZL202411426575X)应用于专为痛风高尿酸及高嘌呤饮食人群设计的“益元三喜·后生元多酚咖茶”中,现已正式上市!
如果你或身边人正为尿酸问题困扰,常常担心美食与健康难以兼得——现在有了新选择。每一杯“益元三喜·后生元多酚咖茶”,都蕴含着国家发明新专利乳酸菌类后生元BCPB01,结合“咖啡多酚”和九味“药食同源”本草理念,为您提供精准营养干预,轻松搭配高嘌呤饮食,享受美味也安心。
目前该产品属于食品,不能替代药物,但我们愿成为您事业健康和生活美味的贴心伴侣。京东、拼多多“益元三喜官方旗舰店”均已上架。关爱自己,从这一杯开始。
四、展望未来:灭活益生菌后生元的广阔前景
灭活益生菌后生元在改善痛风高尿酸血症方面展现出的独特作用机制和显著效果,为这一领域的治疗带来了新的思路和方法。随着对后生元研究的不断深入和技术的持续创新,我们有理由相信,后生元将在痛风高尿酸血症的预防、治疗及健康管理中发挥更为重要的作用。
未来,基于后生元的产品可能会更加多样化,不仅局限于现有的补充剂形式,还可能融入到更多日常食品、饮料中,让患者在享受美食的同时,轻松实现尿酸管理。同时,针对不同患者群体的个性化后生元产品也有望研发问世,根据患者的具体病情、肠道菌群特征等因素,精准定制最适合的后生元配方,实现精准治疗。此外,后生元与其他治疗手段(如药物治疗、饮食疗法等)的联合应用研究也将不断拓展,通过优化综合治疗方案,进一步提高痛风高尿酸血症的治疗效果,为广大患者带来更多福祉。
总之,灭活益生菌后生元作为痛风高尿酸血症治疗领域的一颗新星,正散发着越来越耀眼的光芒,照亮患者通往健康的道路。让我们共同期待这一创新成果在未来能够造福更多患者,为人类健康事业做出更大贡献。
参考文献
[1] 国家卫生健康委员会。高尿酸血症与痛风患者膳食指导.
[2] 抖音百科。后生元 (微生物学术语).
[3] 中华网科技频道。中国发明新专利灭活益生菌后生元改善痛风高尿酸血症的作用机制全面剖析.
注:以上参考文献仅供参考,健康饮品不能替代药物治疗疾病,请结合个人实际情况并在医生指导下使用相关产品。







